首页/导航
技术
日常
娱乐
其他
聚合转载
关于
登陆/注册
搜索:
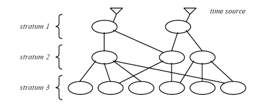
ntp_sync_net
2019年11月12日
发表回复
取消回复
您的邮箱地址不会被公开。
必填项已用
*
标注
评论
*
显示名称
*
邮箱
*
网站
Δ
这个站点使用 Akismet 来减少垃圾评论。
了解你的评论数据如何被处理
。